薬物に含まれる金属元素 110回薬剤師国家試験問7
110回薬剤師国家試験 問7
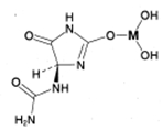
以下の薬物に含まれる金属元素Mとして適切なのはどれか。
1つ選びなさい。

1 Li
2 Mg
3 Al
4 Ca
5 Zn
110回薬剤師国家試験 問7 解答解説

上記の薬物に含まれる金属元素Mとして適切なのは、
選択肢3のAlである。
設問の薬物において、
Mは3つの配位子と配位結合を形成していることから、
Mは3価の金属イオンになりやすい金属元素だと考えられる。
選択肢の金属元素のうち、Alは3価の金属イオンになりやすいので、
MはAlだと考えられる。
なお、設問の薬物はアルジオキサであり、
胃炎や胃・十二指腸潰瘍の治療薬として用いられている。
