109回薬剤師国家試験問106 乳酸脱水素酵素の活性中心
109回薬剤師国家試験 問106
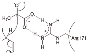
下図に示したように、乳酸脱水素酵素(乳酸デヒドロゲナーゼ)はピルビン酸からL-乳酸への変換を触媒する。この酵素の活性中心に関する記述のうち、正しいのはどれか。2つ選びなさい。

1 109番のArgはピルビン酸のカルボニル炭素の求電子性を高めている。
2 168番のアミノ酸残基はアスパラギンである。
3 171番のArgとピルビン酸との主たる相互作用は、分散力によるものである。
4 195番のHisはピルビン酸に対してブレンステッド酸としてはたらく。
5 NADHはピルビン酸に対してプロトン供与体としてはたらく。
109回薬剤師国家試験 問106 解答解説
◆ 1について
1 ○ 109番のArgはピルビン酸のカルボニル炭素の求電子性を高めている。

ピルビン酸のカルボニル酸素が、109番のArgのグアニジノ基の正電荷を帯びる水素と相互作用をすることにより、カルボニルの共有電子対は酸素の方へ引っ張られる。
これにより、ピルビン酸のカルボニル炭素の電子密度は低下し、求電子性が高まる。
◆ 2について
2 × 168番のアミノ酸残基はアスパラギンである。
→ 〇 168番のアミノ酸残基はアスパラギン酸である。

◆ 3について
3 × 171番のArgとピルビン酸との主たる相互作用は、分散力によるものである。

分散力とは、分子内電子雲の瞬間的なゆらぎが基で生じる、瞬間双極子−誘起双極子相互作用である。
171番のArgとピルビン酸との主たる相互作用は、イオンや永久双極子が関与しているので、分散力ではないと考えられる。
◆ 4,5について
4 ○ 195番のHisはピルビン酸に対してブレンステッド酸としてはたらく。
5 × NADHはピルビン酸に対してプロトン供与体としてはたらく。
→ 〇 NADHはピルビン酸に対してヒドリド(H−)供与体としてはたらく。

195番のHisは、ピルビン酸のカルボニル酸素に対し、イミダゾール基からプロトンを供与しているので、ピルビン酸に対してブレンステッド酸としてはたらいているといえる。
NADHは、ピルビン酸のカルボニル炭素に対し、ヒドリド(H−)供与体としてはたらく。
以上により、ピルビン酸はL-乳酸に還元される。

★他サイトさんの解説へのリンク
109回問106(e-RECさん)