アルドヘキソースのアノマー 110回薬剤師国家試験問6
110回薬剤師国家試験 問6
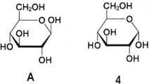
以下のアルドヘキソースAのアノマーはどれか。
1つ選びなさい。

110回薬剤師国家試験 問6 解答解説
アルドヘキソースAのアノマーは、選択肢4である。

アノマーとは、単糖が環状構造を取った時に生じる立体異性体である。
また、単糖が鎖状構造から環状構造となる際に新たに生じる不斉炭素をアノマー炭素と呼ぶ。
本問はヘキソース(6単糖)のアノマーに関する問題である。
ヘキソースの環状構造において、
1位炭素の置換基と5位炭素の置換基が、
環に対して互いに逆側にあるものがα-アノマーであり、
環に対して互いに同じ側にあるものがβ-アノマーである。
本問のアルドヘキソースAは、D-グルコースの環状構造であり、
1位に置換するヒドロキシ基と、5位に置換するCH2OH基が、
環に対して同じ側にあるので、β-アノマー(β-D-グルコピラノース)である。

Aのアノマーは、α-アノマーのα-D-グルコピラノースであり、
1位に置換するヒドロキシ基と、5位に置換するCH2OH基が、
環に対して逆側にあるので、選択肢4が該当する。
