コカインの化学構造を基に創出された局所麻酔薬はどれか 104回薬剤師国家試験問107
104回薬剤師国家試験 問107
コカインの化学構造を基に創出された局所麻酔薬はどれか。1つ選びなさい。

104回薬剤師国家試験 問107 解答解説
正解
コカインの化学構造を基に創出された局所麻酔薬は4のプロカイン塩酸塩である。

以下、詳細
局所麻酔薬は知覚神経の電位依存性Naチャネルを遮断する。
局所麻酔薬の構造については、下記のリンク先を参照
局所麻酔薬の構造の特徴
選択肢の中では、4は下記の通り局所麻酔薬に共通する構造を有する。
なお、4はプロカインであり、エステル型局所麻酔薬である。


プロカインはコカインと比べて、3級アミンと安息香酸エステルは保持されているが、トロパン誘導体が簡素になり、ベンゼン環にアミノ基が置換している。
他の選択肢について
2は、3級アミンとベンゼン環およびそれらをつなぐエステルを含む中間鎖はあるが、エステルが安息香酸エステルではないので、局所麻酔薬ではないと推測できる。


2はホマトロピン臭化物で、下記の通りアトロピンに類似しており、アトロピンのトロパ酸をマンデル酸に置換したものである。
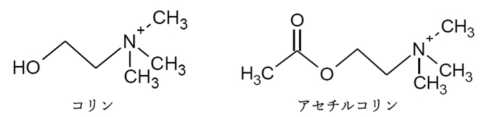
アトロピンおよびホマトロピンは、コリンに類似した構造があり、かつ、かさ高い窒素周辺構造と疎水性基の両者を有することから、ムスカリン性アセチルコリン受容体アンタゴニスト作用(抗コリン作用)を示す。
これらの化合物がムスカリン受容体のアンタゴニストとして作用するのは、大きな構造を持つこと、および、コリン類似部分以外の他の官能基が受容体の結合部位の周辺部と相互作用することで、受容体が形を変えることができなくなるためと考えられている。
3、5はアセチルコリンに類似したカルボニル基と4級アミン構造を有する。
このことから、アセチルコリンに関連した作用を示す薬物と推定できる。
3はコリンエステラーゼ阻害薬のネオスチグミンメチル硫酸塩である。

5はニコチン性アセチルコリン受容体に作用する脱分極型筋弛緩薬のスキサメトニウム塩化物水和物である。

1は抗アレルギー薬のアンレキサノクスである。
現在は販売を終了している。

★他サイトさんの解説へのリンク
第104回問107(e-RECさん)