アルデヒド,ケトンと1級2級アミンからイミン.エナミン生成の反応機構 89回薬剤師国家試験問10d
第89回薬剤師国家試験 問10d
アルデヒド及びケトンヘの求核付加反応に関する記述の正誤を判定してみよう。
d 3-ペンタノンはメチルアミンと反応してイミンを与えるが、ジメチルアミンとは反応しない。
第89回薬剤師国家試験 問10d 解答解説
d × 3-ペンタノンはメチルアミンと反応してイミンを与えるが、ジメチルアミンとは反応しない。
→ 〇 3-ペンタノンはメチルアミン(1級アミン)と反応してイミンを与えるが、ジメチルアミン(2級アミン)と反応してエナミンを与える。
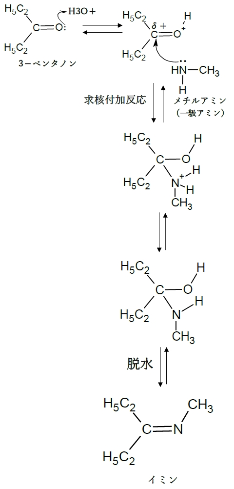
★ アルデヒド・ケトンに対するアンモニア・1級アミンの求核付加ではイミンが生成
アルデヒド・ケトンに対し、酸触媒下で求核試薬としてアンモニアまたは一級アミンを反応させると、求核付加の後、脱水が起こってイミンが生成する。

3−ペンタノンとメチルアミン(1級アミン)との反応では、求核付加の後、脱水が起こり、イミンが生成する。

★ アルデヒド・ケトンに対するアンモニア・2級アミンの求核付加ではエナミン(アルケン+アミン)が生成
アルデヒド・ケトンに対し、酸触媒下で求核試薬として2級アミンを反応させると、求核付加の後、脱水が起こってエナミン(アルケン+アミン)が生成する。

3−ペンタノンとジメチルアミン(2級アミン)との反応では、求核付加の後、脱水が起こり、エナミンが生成する。
