2-bromo-3-chlorobutaneの立体 88回薬剤師国家試験問4
第88回薬剤師国家試験 問4
下記の立体構造a〜dのうち、(2R,3S)-2-bromo-3-chlorobutaneを正しく表しているもののどれか。
全て選びなさい。
第88回薬剤師国家試験 問4 解答解説

bとcが(2R,3S)-2-bromo-3-chlorobutaneである。
aは(2R,3R)-2-bromo-3-chlorobutane
dは(2R,3R)-2-bromo-3-chlorobutane
である。
不斉中心の絶対配置の判別の仕方については、下記のリンク先を参照
不斉中心の絶対配置の判別について
◆ aについて
a (2R,3R)-2-bromo-3-chlorobutane
aの構造式の描き方をフィッシャー投影式と呼ぶ。
フィッシャー投影式では、左右の線は紙面から手前に伸びる結合を示し、端の上下の線は紙面から奥側に伸びる結合を示し、端以外の上下の線は紙面上を伸びる結合を示す。
よって、aの立体は下記の通り。

・2位の立体ついて
2位:CのHが手前にあり、@ABが反時計回りに並んでいるのでRである。よって、2R
・3位の立体ついて
3位:CのHが手前にあり、@ABが反時計回りに並んでいるのでRである。よって、3R
これより、aは(2R,3R)である。
★参考外部サイトリンク
フィッシャー投影式|RS絶対配置の決定(生命系のための理工学基礎さん)
◆ bについて
b (2R,3S)-2-bromo-3-chlorobutane
・2位の立体ついて
2位:CのHが手前にあり、@ABが反時計回りに並んでいるのでRである。よって、2R
・3位の立体ついて
3位:CのHが手前にあり、@ABが時計回りに並んでいるのでSである。よって、3S
これより、bは(2R,3S)である。
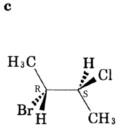
◆ cについて
c (2R,3S)-2-bromo-3-chlorobutane
・2位の立体ついて
2位:CのHが手前にあり、@ABが反時計回りに並んでいるのでRである。よって、2R
・3位の立体ついて
3位:CのHが奥にあり、@ABが反時計回りに並んでいるのでSである。よって、3S
これより、cは(2R,3S)である。
◆ dについて
d (2R,3R)-2-bromo-3-chlorobutane
dの構造式をNewman投影式という。
絶対配置がわかりやすいような形に色々変換する。
・2位について
2位:CのHが手前にあり、@ABが反時計回りに並んでいるのでRである。よって、2R
・3位について
3位:CのHが手前にあり、@ABが反時計回りに並んでいるのでRである。よって、3R
これより、dは(2R,3R)である。
別解として、
dのNewman投影式をフィッシャー式に変換してみる。

★参考外部サイトリンク
Newman投影式(猫でもわかる有機化学さん)
Fischer投影式とNewman投影式(薬学これでOKさん)