ヘム鉄に配位することでCYP3A4の活性を阻害する薬物 103回薬剤師国家試験問45
103回薬剤師国家試験 問45
ヘム鉄に配位することで、CYP3A4の活性を阻害するのはどれか。
1つ選びなさい。

103回薬剤師国家試験 問45 解答解説
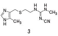
ヘム鉄に配位することで、CYP3A4の活性を阻害するのは、
選択肢3である。

構造中にイミダゾール環やトリアゾール環などの含窒素複素環を有する化合物は、
複素環の窒素原子がCYPのヘム鉄に配位結合して複合体を形成することにより、
CYPによる代謝を阻害することがある。
この機構によるCYPの阻害は、可逆的な阻害だと考えられている。
選択肢の化合物のうち、選択肢3はイミダゾール環を有するので、
ヘム鉄に配位し、CYPの活性を阻害すると考えられる。

選択肢3の化合物はシメチジン(タガメット)であり、イミダゾール環の窒素原子が、
CYPのヘム鉄に配位結合することで複合体を形成し、これを可逆的に阻害する。
シメチジンは、特にCYP3A4とCYP2D6に対して強い阻害効果を有することが報告されている。
また、シメチジンには有機カチオン系薬物の尿細管分泌を阻害する作用もある。
・メトホルミンとシメチジンの尿細管分泌の相互作用の機序 105回問175の4
★ 他サイトさんの解説リンク
103回問45(e-RECさん)